Page 130 - 08-气源处理元件
P. 130
AC20-D~AC60-D 系列
空气组合元件
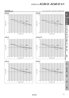
压力特性(代表值) 条件 :进口压力0.7MPa 出口压力0.2MPa 流量20L/min (ANR)
AC20-D AC30-D
0.25 0.25 AC
出口压力 MPa 0.2 设定点 出口压力 MPa 0.2 设定点 AF+AR+AL
AW+AL
0.15 0.15
0.2 0.3 0.4 0.5 0.6 0.7 0.8 0.9 1 0.2 0.3 0.4 0.5 0.6 0.7 0.8 0.9 1
进口压力 MPa 进口压力 MPa AF+AR
AC40-D AC40-06-D
AF+AFM+AR
0.25 0.25
出口压力 MPa 0.2 设定点 出口压力 MPa 0.2 设定点 AW+AFM
附件
0.15 0.15
0.2 0.3 0.4 0.5 0.6 0.7 0.8 0.9 1 0.2 0.3 0.4 0.5 0.6 0.7 0.8 0.9 1
进口压力 MPa 进口压力 MPa
AC50-D AC60-D
0.25 0.25
AF
出口压力 MPa 0.2 设定点 出口压力 MPa 0.2 设定点 AFM / AFD
AR
0.15 0.15
0.2 0.3 0.4 0.5 0.6 0.7 0.8 0.9 1 0.2 0.3 0.4 0.5 0.6 0.7 0.8 0.9 1
进口压力 MPa 进口压力 MPa AL
AW
14

