Page 192 - 08-气源处理元件
P. 192
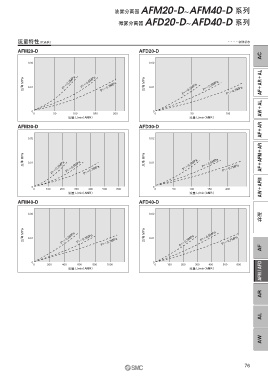
油雾分离器 AFM20-D~AFM40-D 系列
微雾分离器 AFD20-D~AFD40-D 系列
流量特性(代表值) 初期状态
AFM20-D AFD20-D
AC
0.02 0.02
压降 MPa 0.01 P1=0.3MPa P1=0.5MPa P1=0.7MPa 压降 MPa 0.01 P1=0.3MPa P1=0.5MPa P1=0.7MPa AF+AR+AL
AW+AL
0 0
0 50 100 150 200 0 50 100
流量 L/min (ANR) 流量 L/min (ANR)
AF+AR
AFM30-D AFD30-D
0.02 0.02
压降 MPa 0.01 压降 MPa 0.01 P1=0.5MPa AF+AFM+AR
P1=0.3MPa P1=0.5MPa P1=0.7MPa P1=0.3MPa P1=0.7MPa
AW+AFM
0 0
0 100 200 300 400 500 600 0 50 100 150 200
流量 L/min (ANR) 流量 L/min (ANR)
AFM40-D AFD40-D
附件
0.02 0.02
压降 MPa 0.01 P1=0.3MPa P1=0.5MPa P1=0.7MPa 压降 MPa 0.01 P1=0.3MPa P1=0.5MPa P1=0.7MPa
AF
AFM / AFD
0 0
0 200 400 600 800 1000 0 100 200 300 400 500 600
流量 L/min (ANR) 流量 L/min (ANR)
AR
AL
AW
76

