Page 720 - 21-工艺气体元件(特气阀)
P. 720
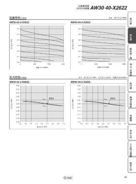
过滤减压阀
SUS316规格 AW30·40-X2622
定位器
流量特性(代表值) 条件 :进口压力0.7MPa
AW30-02-2-X2622 AW40-04-2-X2622
0.6 0.6
减压阀
0.5 0.5
出口压力 MPa 0.4 出口压力 MPa 0.4 继动器/阀
0.3
0.3
0.2 0.2
0.1 0.1
电
0.0 0.0
- 气
0 500 1000 1500 0 1000 2000 3000
变换器
流量 L/min(ANR) 流量 L/min(ANR)
压力特性(代表值) 条件 :进口压力0.7MPa 出口压力0.2MPa 流量20L/min(ANR)
执行器
AW30-02-2-X2622 AW40-04-2-X2622
0.25 0.25
0.24 0.24
0.23 0.23 检测变换器
0.22 0.22
设定点 0.21 设定点
出口压力 MPa 0.20 出口压力 MPa 0.20
0.21
0.19
0.18
0.18 0.19
电磁阀
0.17 0.17
0.16 0.16
0.15 0.15
0.2 0.3 0.4 0.5 0.6 0.7 0.8 0.9 1.0 0.2 0.3 0.4 0.5 0.6 0.7 0.8 0.9 1.0
进口压力 MPa 进口压力 MPa 净化元件
工业用过滤器
配管元件
48

