Page 105 - 08-气源处理元件
P. 105
AW20-D~AW60-D 系列
过滤减压阀
AW20K-D~AW60K-D 系列
带逆流功能过滤减压阀
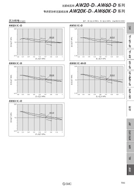
压力特性(代表值) 条件 :进口压力0.7MPa 出口压力0.2MPa 流量20L/min (ANR)
AW20 (K) -D AW30 (K) -D
0.25 0.25 AC
出口压力 MPa 0.2 设定点 出口压力 MPa 0.2 设定点 AF+AR+AL
AW+AL
0.15 0.15
0.2 0.3 0.4 0.5 0.6 0.7 0.8 0.9 1 0.2 0.3 0.4 0.5 0.6 0.7 0.8 0.9 1
进口压力 MPa 进口压力 MPa
AF+AR
AW40 (K) -D AW40 (K) -06-D
0.25 0.25
出口压力 MPa 0.2 设定点 出口压力 MPa 0.2 设定点 AF+AFM+AR
AW+AFM
0.15 0.15
0.2 0.3 0.4 0.5 0.6 0.7 0.8 0.9 1 0.2 0.3 0.4 0.5 0.6 0.7 0.8 0.9 1
进口压力 MPa 进口压力 MPa
AW60 (K) -D
0.25 附件
出口压力 MPa 0.2 设定点
AF
0.15
AFM / AFD
0.2 0.3 0.4 0.5 0.6 0.7 0.8 0.9 1
进口压力 MPa
AR
AL
AW
104

